Официальное опубликование правовых актов
ОФИЦИАЛЬНОЕ ОПУБЛИКОВАНИЕ
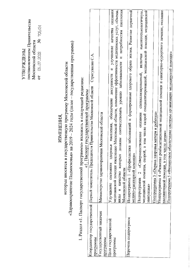
Постановление Правительства Московской области от 05.07.2022 № 705/24
"О внесении изменений в государственную программу Московской области "Здравоохранение Подмосковья" на 2019 - 2024 годы"
Номер опубликования: 5000202207130005
Дата опубликования: 13.07.2022
Страница №3 из 29:
Увеличить