Официальное опубликование правовых актов
ОФИЦИАЛЬНОЕ ОПУБЛИКОВАНИЕ
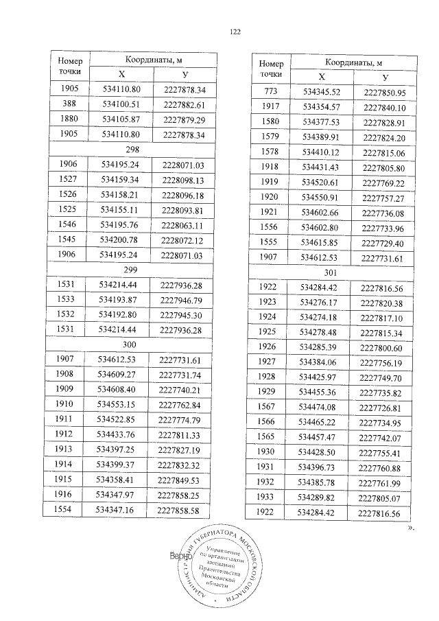
Постановление Правительства Московской области от 21.07.2022 № 753/25
"Об утверждении изменений в проект планировки территории для размещения линейного объекта капитального строительства – проектируемой улицы № 1 "Большое кольцо" ("Западный объезд г. Сергиев Посад") (3 этап)"
Номер опубликования: 5000202207220004
Дата опубликования: 22.07.2022
Страница №124 из 124:
Увеличить