Официальное опубликование правовых актов
ОФИЦИАЛЬНОЕ ОПУБЛИКОВАНИЕ
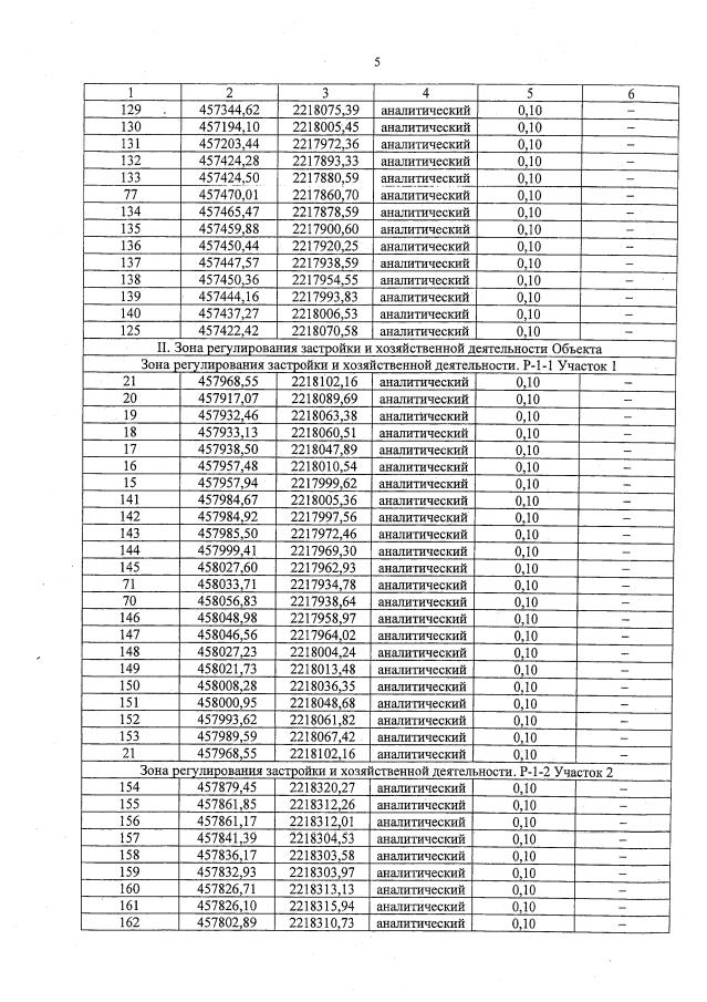
Постановление Правительства Московской области от 03.10.2022 № 1041/33
"Об установлении зон охраны объекта культурного наследия регионального значения "Усадьба "Богородское-Красково": главный дом, нач. XX в.; церковь Владимирской иконы Божией Матери, 1831-1833 гг., 1894-1895 гг.; флигель южный, нач. XX в.", расположенного по адресу: Московская область, городской округ Люберцы, дачный поселок Красково, и об утверждении требований к градостроительным регламентам в границах территорий данных зон"
Номер опубликования: 5000202210030003
Дата опубликования: 03.10.2022
Страница №16 из 23:
Увеличить