Официальное опубликование правовых актов
ОФИЦИАЛЬНОЕ ОПУБЛИКОВАНИЕ
Постановление Правительства Московской области от 17.10.2022 № 1141/33
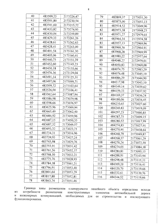
"О внесении изменений в документацию по планировке территории для строительства автомобильной дороги Пятницкое шоссе (новое направление) – Сабурово в городском округе Красногорск Московской области"
Номер опубликования: 5000202210190004
Дата опубликования: 19.10.2022
Страница №10 из 140:
Увеличить