Официальное опубликование правовых актов
ОФИЦИАЛЬНОЕ ОПУБЛИКОВАНИЕ
Постановление Правительства Московской области от 11.11.2022 № 1241/38
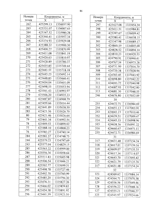
"О внесении изменений в документацию по планировке территории для реконструкции автомобильной дороги "М-3 "Украина" – Афанасовка – Савеловка – Могутово" с участками строительства дорог в обход населенных пунктов Афанасовка и Савеловка"
Номер опубликования: 5000202211140006
Дата опубликования: 14.11.2022
Страница №88 из 105:
Увеличить