Официальное опубликование правовых актов
ОФИЦИАЛЬНОЕ ОПУБЛИКОВАНИЕ
Постановление Правительства Московской области от 24.11.2022 № 1275/40
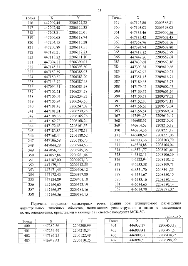
"О внесении изменений в постановление Правительства Московской области от 28.12.2018 № 1025/45 "Об утверждении проекта планировки территории для строительства автомобильной дороги регионального значения "Каширское шоссе – Молоково – Андреевское" в Ленинском муниципальном районе Московской области"
Номер опубликования: 5000202211250010
Дата опубликования: 25.11.2022
Страница №17 из 155:
Увеличить