Официальное опубликование правовых актов
ОФИЦИАЛЬНОЕ ОПУБЛИКОВАНИЕ
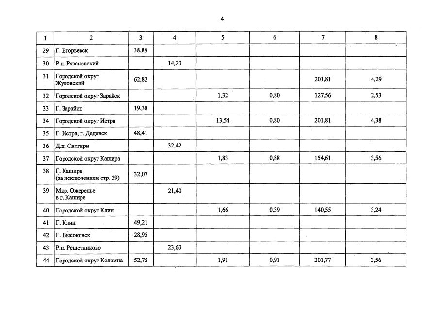
Закон Московской области от 29.11.2022 № 215/2022-ОЗ
"Об установлении базового размера арендной платы за земельные участки, находящиеся в собственности Московской области или государственная собственность на которые не разграничена на территории Московской области, на 2023 год"
Номер опубликования: 5000202212020005
Дата опубликования: 02.12.2022
Страница №8 из 19:
Увеличить