Официальное опубликование правовых актов
ОФИЦИАЛЬНОЕ ОПУБЛИКОВАНИЕ
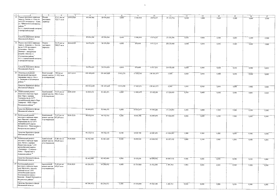
Постановление Правительства Московской области от 06.12.2022 № 1324/45
"О внесении изменений в государственную программу Московской области "Развитие и функционирование дорожно-транспортного комплекса" на 2017-2026 годы"
Номер опубликования: 5000202212130001
Дата опубликования: 13.12.2022
Страница №76 из 82:
Увеличить