Официальное опубликование правовых актов
ОФИЦИАЛЬНОЕ ОПУБЛИКОВАНИЕ
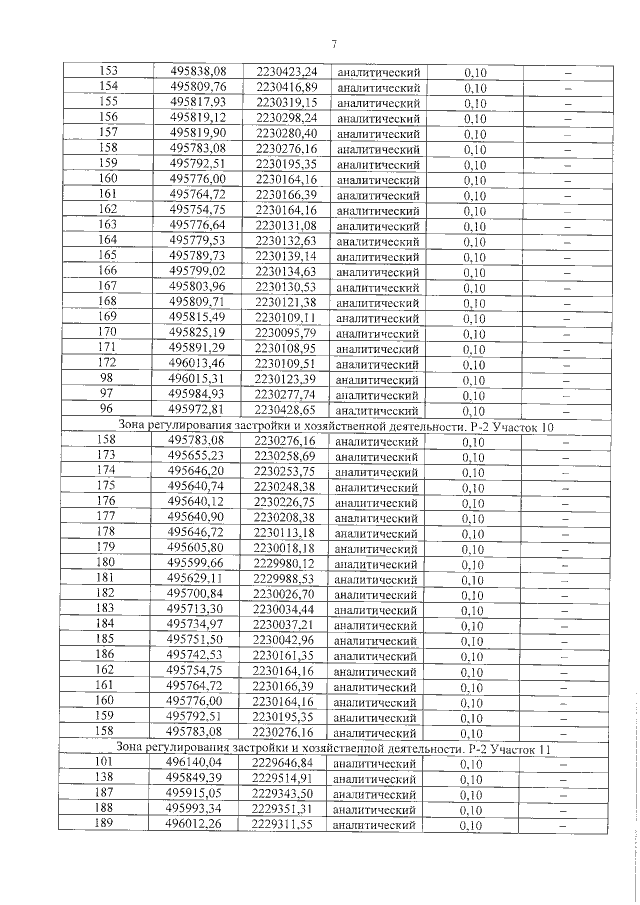
Постановление Правительства Московской области от 09.12.2022 № 1344/44
"Об установлении зон охраны объекта культурного наследия регионального значения "Церковь Николая Чудотворца, 1699 г., 1821-1825 гг.", расположенного по адресу: Московская область, городской округ Щелково, деревня Здехово, и об утверждении требований к градостроительным регламентам в границах территорий данных зон"
Номер опубликования: 5000202212140001
Дата опубликования: 14.12.2022
Страница №24 из 30:
Увеличить