Официальное опубликование правовых актов
ОФИЦИАЛЬНОЕ ОПУБЛИКОВАНИЕ
Постановление Правительства Московской области от 15.12.2022 № 1392/44
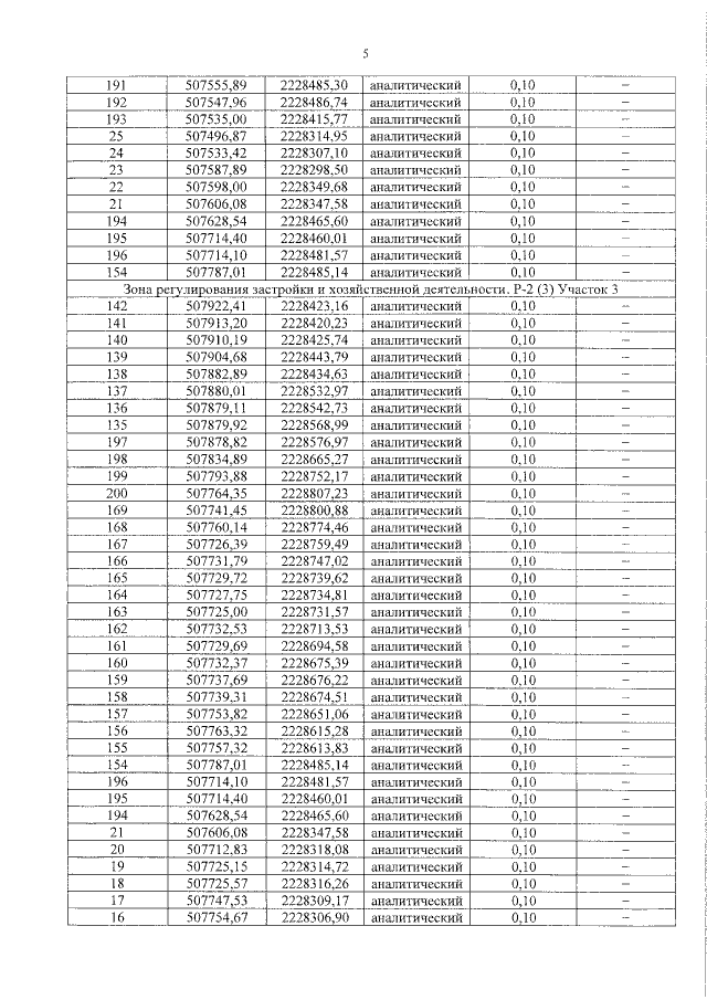
"Об установлении зон охраны объекта культурного наследия регионального значения "Комплекс "Вознесенской мануфактуры", XIX – нач. XX вв.", расположенного по адресу: Московская область, Городской округ Пушкинский, город Красноармейск, улица Свердлова, дома 2, 4, 11, пересечение улицы Академика Янгеля и улицы Чкалова, и об утверждении требований к градостроительным регламентам в границах территорий данных зон"
Номер опубликования: 5000202212190002
Дата опубликования: 19.12.2022
Страница №21 из 34:
Увеличить