Официальное опубликование правовых актов
ОФИЦИАЛЬНОЕ ОПУБЛИКОВАНИЕ
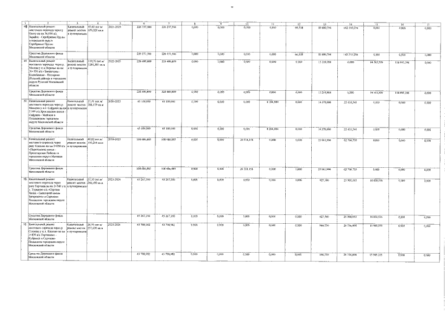
Постановление Правительства Московской области от 13.12.2022 № 1372/46
"О внесении изменений в некоторые постановления Правительства Московской области в сфере дорожно-транспортной инфраструктуры"
Номер опубликования: 5000202212210004
Дата опубликования: 21.12.2022
Страница №105 из 107:
Увеличить