Официальное опубликование правовых актов
ОФИЦИАЛЬНОЕ ОПУБЛИКОВАНИЕ
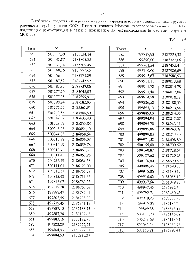
Постановление Правительства Московской области от 03.04.2023 № 172-ПП
"О внесении изменений в проект планировки территории для размещения линейного объекта капитального строительства – автомобильной дороги А-104 "Москва – Дмитров – Дубна" – "Рогачевское шоссе" (северный обход г. Лобни)"
Номер опубликования: 5000202304040003
Дата опубликования: 04.04.2023
Страница №24 из 309:
Увеличить