Официальное опубликование правовых актов
ОФИЦИАЛЬНОЕ ОПУБЛИКОВАНИЕ
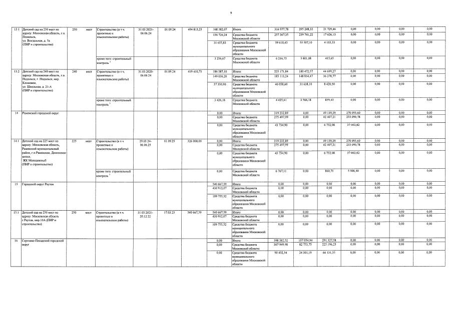
Постановление Правительства Московской области от 03.05.2023 № 264-ПП
"О распределении бюджетных ассигнований бюджета Московской области и внесении изменений в государственную программу Московской области "Строительство объектов социальной инфраструктуры" на 2023-2027 годы"
Номер опубликования: 5000202305040002
Дата опубликования: 04.05.2023
Страница №40 из 80:
Увеличить