Официальное опубликование правовых актов
ОФИЦИАЛЬНОЕ ОПУБЛИКОВАНИЕ
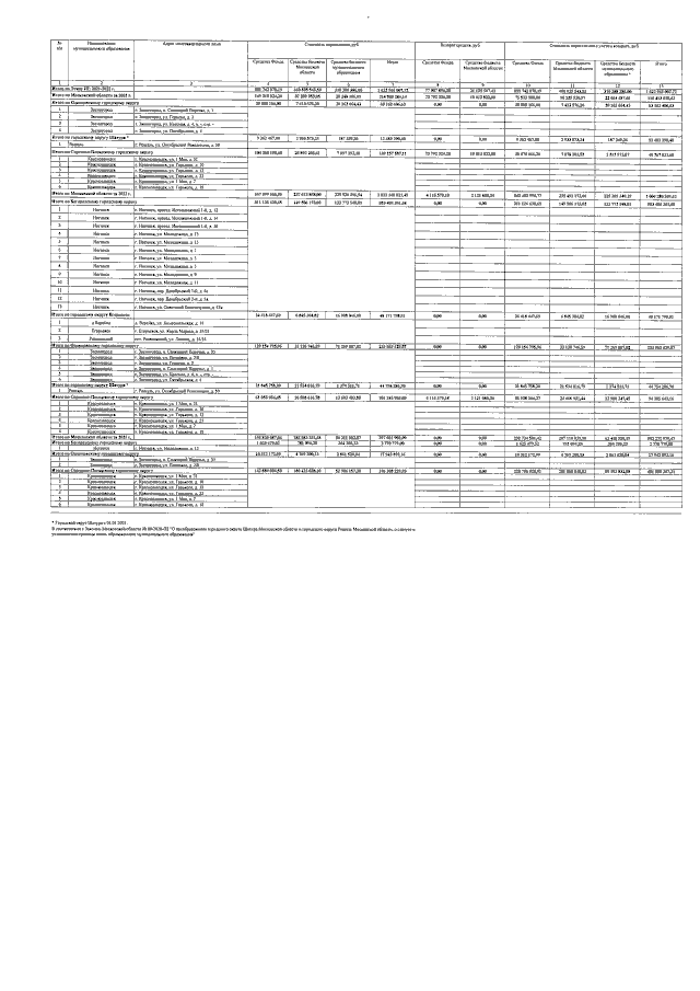
Постановление Правительства Московской области от 09.06.2023 № 387-ПП
"О внесении изменений в государственную программу Московской области "Переселение граждан из аварийного жилищного фонда в Московской области на 2019-2025 годы"
Номер опубликования: 5000202306150008
Дата опубликования: 15.06.2023
Страница №33 из 56:
Увеличить