Официальное опубликование правовых актов
ОФИЦИАЛЬНОЕ ОПУБЛИКОВАНИЕ
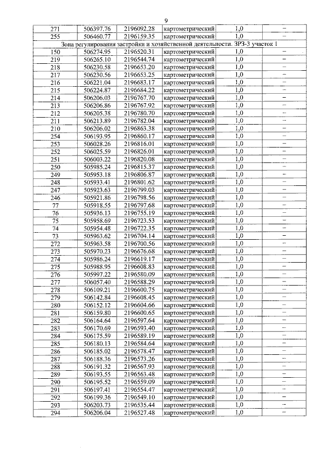
Постановление Правительства Московской области от 26.06.2023 № 440-ПП
"Об установлении зон охраны объекта культурного наследия федерального значения "Усадьба Никольское-Прозоровское, XVIII в.", расположенного по адресу: Московская область, городской округ Мытищи, поселок Николо-Прозорово, и об утверждении требований к градостроительным регламентам в границах территорий данных зон"
Номер опубликования: 5000202306270002
Дата опубликования: 27.06.2023
Страница №31 из 41:
Увеличить