Официальное опубликование правовых актов
ОФИЦИАЛЬНОЕ ОПУБЛИКОВАНИЕ
Постановление Правительства Московской области от 28.06.2023 № 450-ПП
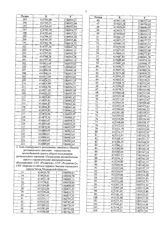
"Об утверждении документации по планировке территории для строительства подъездной автомобильной дороги к садоводческим некоммерческим объединениям: СНТ "Родничок", СНТ "Родничок-2", СНТ "Березка-2" вблизи деревни Змеевка городского округа Чехов Московской области"
Номер опубликования: 5000202306300002
Дата опубликования: 30.06.2023
Страница №9 из 71:
Увеличить