Официальное опубликование правовых актов
ОФИЦИАЛЬНОЕ ОПУБЛИКОВАНИЕ
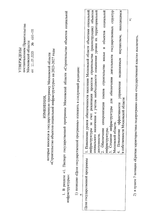
Постановление Правительства Московской области от 11.07.2023 № 493-ПП
"О внесении изменений в государственную программу Московской области "Строительство объектов социальной инфраструктуры" на 2023-2027 годы"
Номер опубликования: 5000202307120001
Дата опубликования: 12.07.2023
Страница №2 из 16:
Увеличить