Официальное опубликование правовых актов
ОФИЦИАЛЬНОЕ ОПУБЛИКОВАНИЕ
Постановление Правительства Московской области от 11.07.2023 № 500-ПП
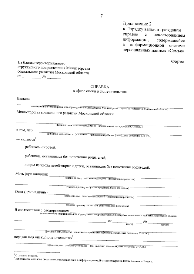
"О внесении изменений в постановление Правительства Московской области от 31.03.2022 № 309/11 "Об утверждении Порядка выдачи гражданам справок с использованием информации, содержащейся в Единой автоматизированной информационной системе обеспечения социальной защиты и социального обслуживания населения Московской области "Социальная защита и социальное обслуживание населения Московской области"
Номер опубликования: 5000202307120006
Дата опубликования: 12.07.2023
Страница №8 из 12:
Увеличить