Официальное опубликование правовых актов
ОФИЦИАЛЬНОЕ ОПУБЛИКОВАНИЕ
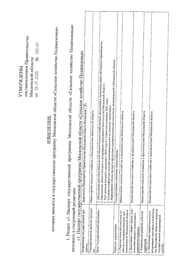
Постановление Правительства Московской области от 19.07.2023 № 555-ПП
"О внесении изменений в государственную программу Московской области "Сельское хозяйство Подмосковья"
Номер опубликования: 5000202307250003
Дата опубликования: 25.07.2023
Страница №2 из 22:
Увеличить