Официальное опубликование правовых актов
ОФИЦИАЛЬНОЕ ОПУБЛИКОВАНИЕ
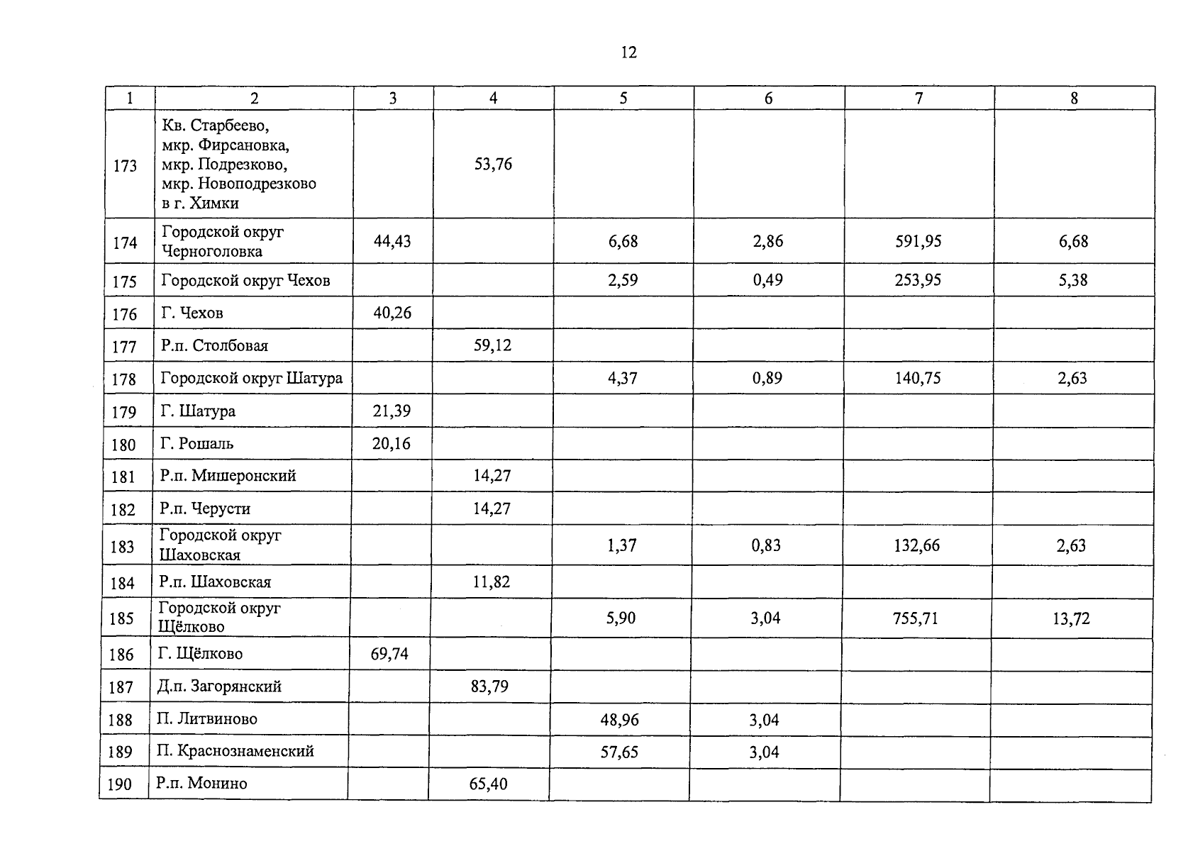
Закон Московской области от 02.10.2023 № 164/2023-ОЗ
"Об установлении базового размера арендной платы за земельные участки, находящиеся в собственности Московской области или государственная собственность на которые не разграничена на территории Московской области, на 2024 год"
Номер опубликования: 5000202310030010
Дата опубликования: 03.10.2023
Страница №16 из 17:
Увеличить