Официальное опубликование правовых актов
ОФИЦИАЛЬНОЕ ОПУБЛИКОВАНИЕ
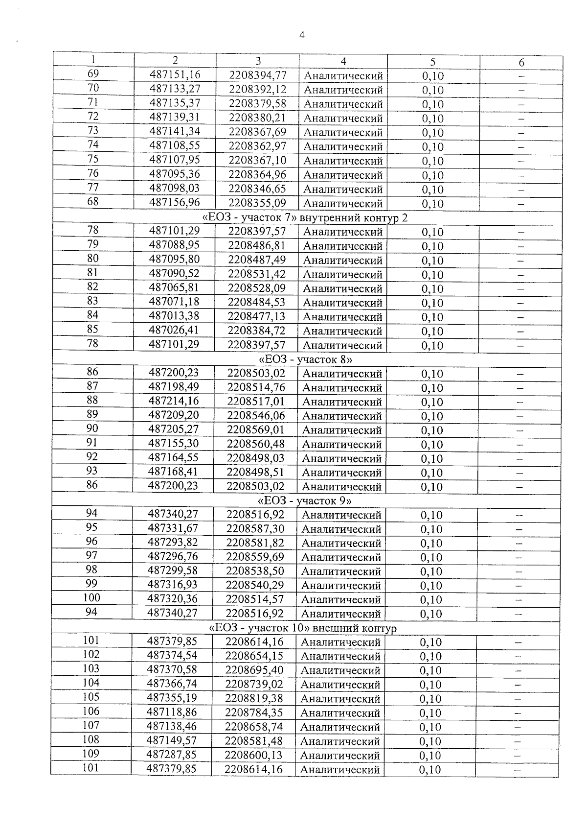
Постановление Правительства Московской области от 12.10.2023 № 945-ПП
"Об установлении объединенной зоны охраны объектов культурного наследия регионального значения, расположенных в центральной исторической части города Королёва городского округа Королёв Московской области, и об утверждении требований к градостроительным регламентам в границах территории данной зоны"
Номер опубликования: 5000202310130007
Дата опубликования: 13.10.2023
Страница №23 из 32:
Увеличить