Официальное опубликование правовых актов
ОФИЦИАЛЬНОЕ ОПУБЛИКОВАНИЕ
Постановление Правительства Московской области от 30.01.2025 № 74-ПП
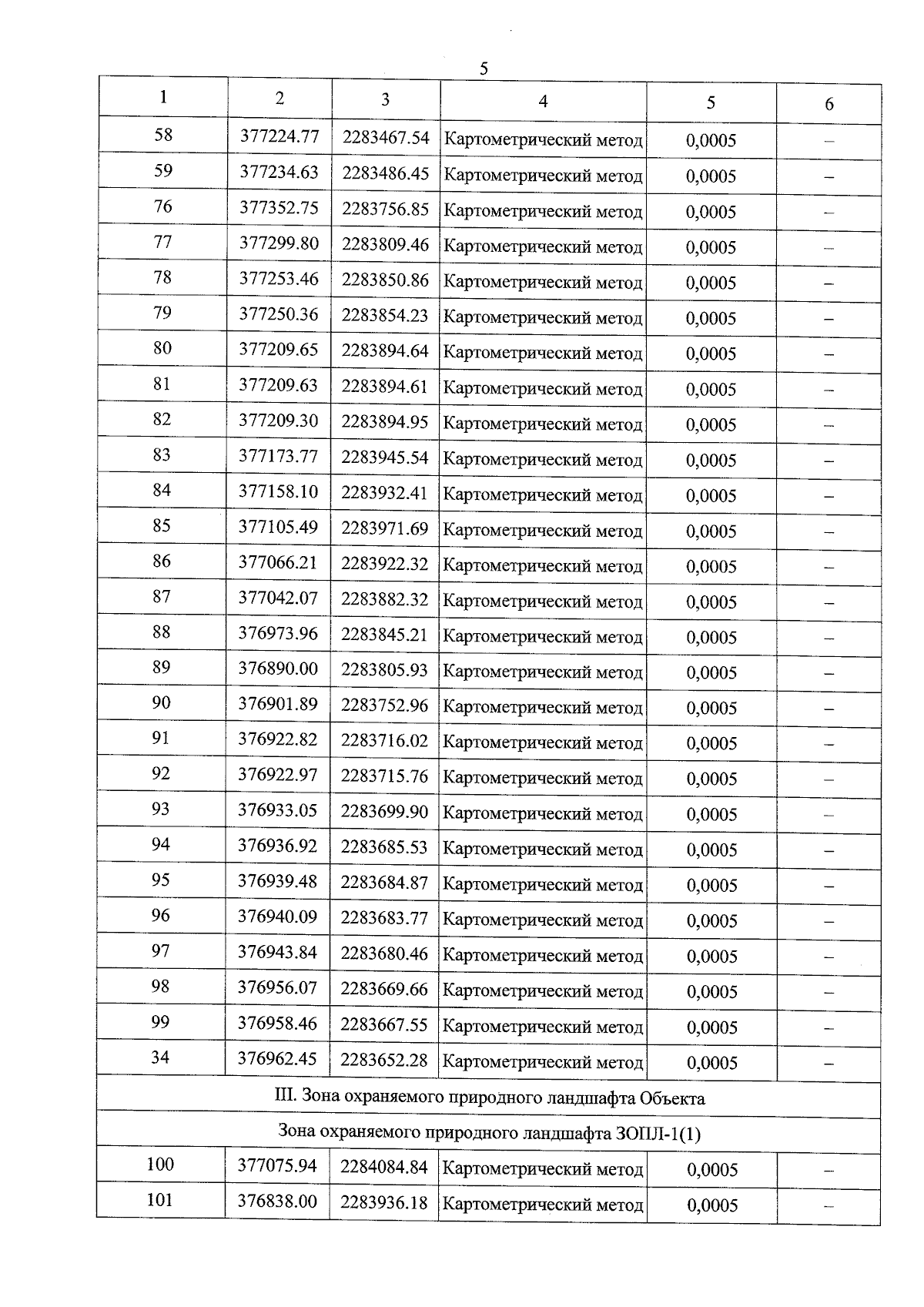
"Об установлении зон охраны объекта культурного наследия регионального значения "Церковь Казанской Божьей Матери (деревянная), ХVIII в.", расположенного по адресу: Московская область, городской округ Луховицы, город Луховицы, улица Пушкина, строение 337, и об утверждении требований к градостроительным регламентам в границах территорий данных зон"
Номер опубликования: 5000202502030004
Дата опубликования: 03.02.2025
Страница №14 из 18:
Увеличить