Постановление Правительства Московской области от 08.04.2025 № 349-ПП
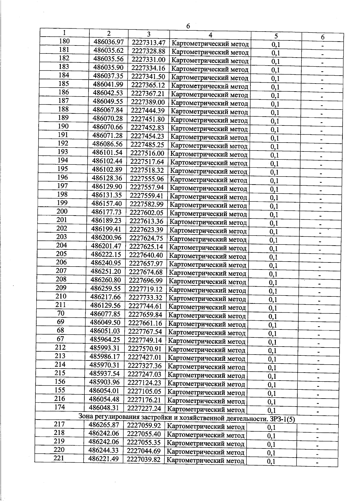
"Об установлении зон охраны объекта культурного наследия регионального значения "Усадьба "Райки", нач. XIX – нач. XX вв.: Голландский домик, нач. XX в., архитектор Л.Н. Кекушев; Финский домик, нач. XX в., архитектор Л.Н. Кекушев; Парк, 1-я пол. XIX в.; Обелиск в парке, XIX в.", расположенного по адресу: Московская область, городской округ Лосино-Петровский, поселок Юность, и об утверждении требований к градостроительным регламентам в границах территорий данных зон"
"Об установлении зон охраны объекта культурного наследия регионального значения "Усадьба "Райки", нач. XIX – нач. XX вв.: Голландский домик, нач. XX в., архитектор Л.Н. Кекушев; Финский домик, нач. XX в., архитектор Л.Н. Кекушев; Парк, 1-я пол. XIX в.; Обелиск в парке, XIX в.", расположенного по адресу: Московская область, городской округ Лосино-Петровский, поселок Юность, и об утверждении требований к градостроительным регламентам в границах территорий данных зон"
Номер опубликования: 5000202504100012
Дата опубликования:
10.04.2025
