Официальное опубликование правовых актов
ОФИЦИАЛЬНОЕ ОПУБЛИКОВАНИЕ
Постановление Правительства Московской области от 21.04.2025 № 421-ПП
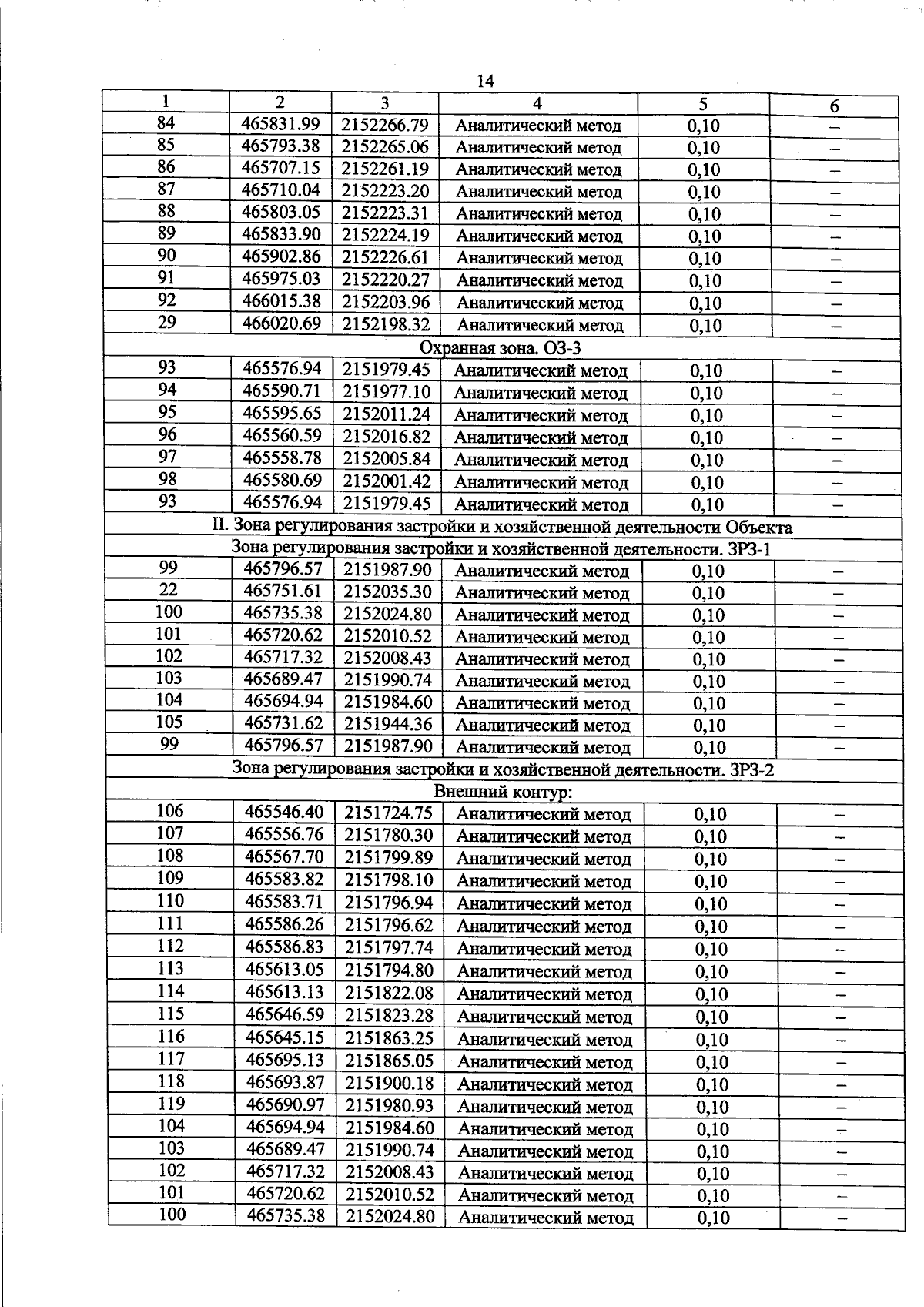
"Об установлении зон охраны объекта культурного наследия регионального значения "Усадьба Попова "Поречье": "охотничий" домик, 1910-е гг.; парк, нач. ХХ в.", расположенного по адресу: Московская область, Одинцовский городской округ, город Звенигород, территория санатория "Поречье", и об утверждении требований к градостроительным регламентам в границах территорий данных зон"
Номер опубликования: 5000202504210019
Дата опубликования: 21.04.2025
Страница №31 из 41:
Увеличить