Официальное опубликование правовых актов
ОФИЦИАЛЬНОЕ ОПУБЛИКОВАНИЕ
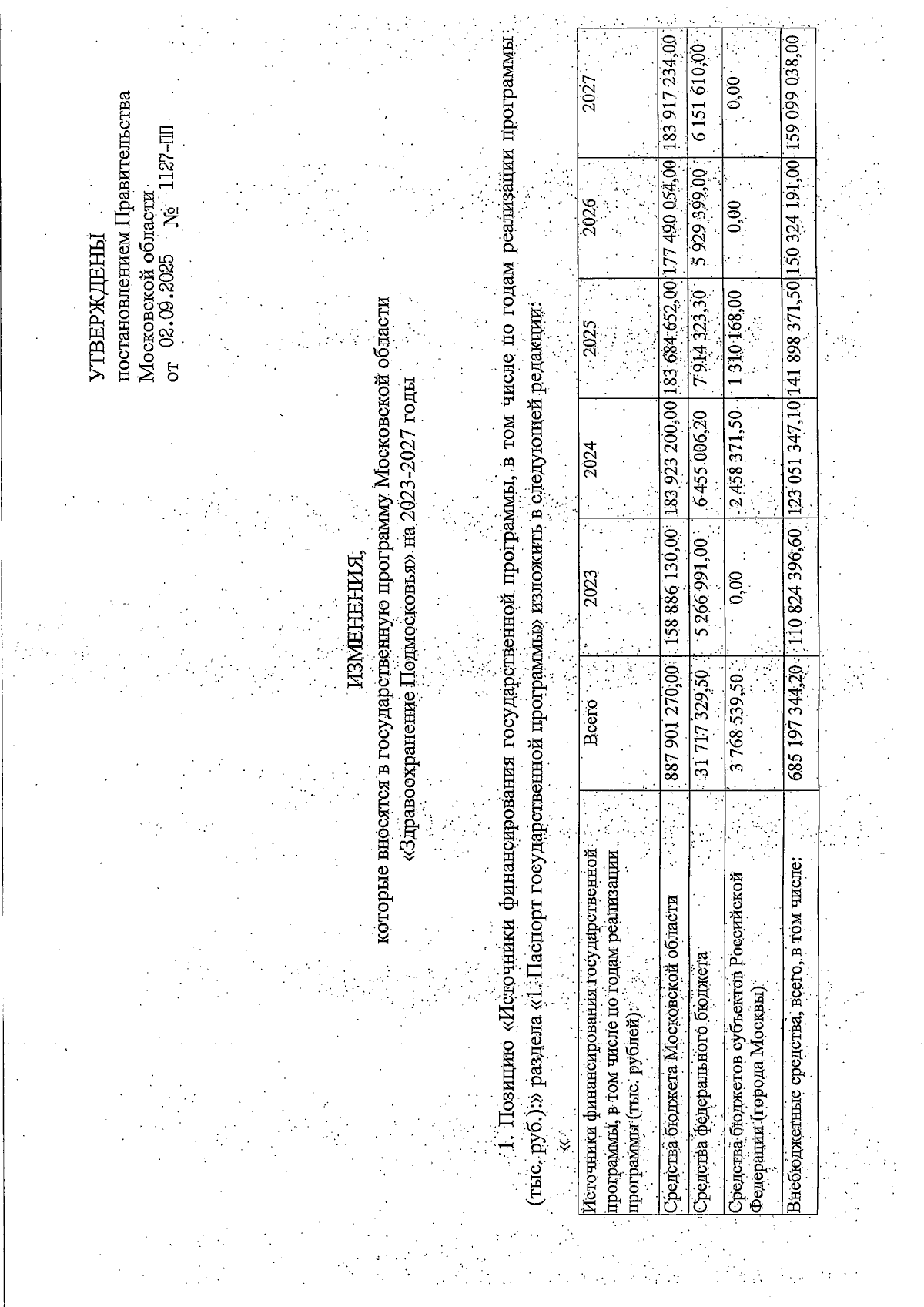
Постановление Правительства Московской области от 02.09.2025 № 1127-ПП
"О распределении бюджетных ассигнований бюджета Московской области и внесении изменений в государственную программу Московской области "Здравоохранение Подмосковья" на 2023-2027 годы"
Номер опубликования: 5000202509090002
Дата опубликования: 09.09.2025
Страница №4 из 11:
Увеличить