Постановление Правительства Московской области от 20.01.2026 № 21-ПП
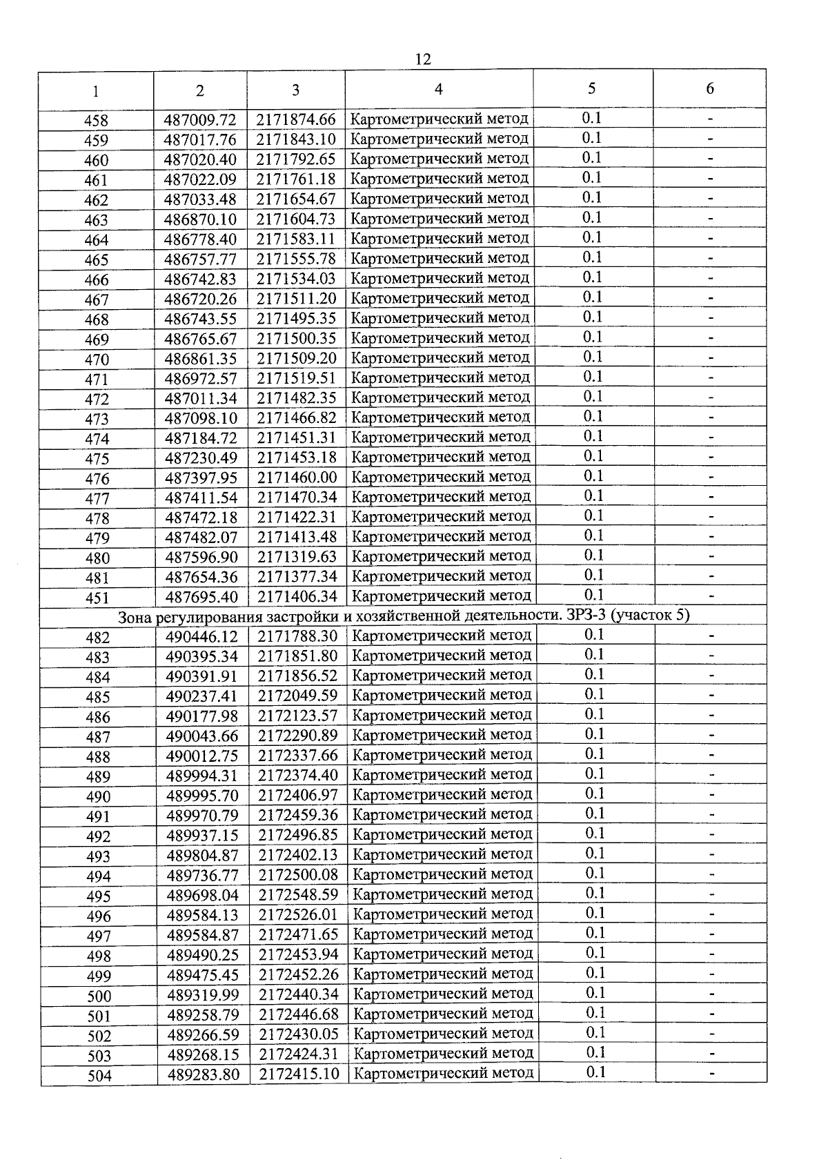
"Об установлении зон охраны объекта культурного наследия федерального значения "Усадьба Мцыри (Спасское), ХVII-ХVIII вв.: Главный дом; Флигели: западный и восточный, №№ 1,2,5; Конный двор, конюшни (два здания); Переходная галерея-колоннада; Хозяйственные постройки; Каретный сарай; Два фуражных склада; Арочный мост; Боковая лестница; Два кирпичных моста; Обелиск Лермонтова; Церковь Алексея Митрополита; Контора; Парк, ограда", по адресу: Московская область, городской округ Химки, деревня Середниково, территория усадьбы Середниково, и утверждении требований к градостроительным регламентам в границах территорий данных ЗОН"
"Об установлении зон охраны объекта культурного наследия федерального значения "Усадьба Мцыри (Спасское), ХVII-ХVIII вв.: Главный дом; Флигели: западный и восточный, №№ 1,2,5; Конный двор, конюшни (два здания); Переходная галерея-колоннада; Хозяйственные постройки; Каретный сарай; Два фуражных склада; Арочный мост; Боковая лестница; Два кирпичных моста; Обелиск Лермонтова; Церковь Алексея Митрополита; Контора; Парк, ограда", по адресу: Московская область, городской округ Химки, деревня Середниково, территория усадьбы Середниково, и утверждении требований к градостроительным регламентам в границах территорий данных ЗОН"
Номер опубликования: 5000202601210003
Дата опубликования:
21.01.2026
