Официальное опубликование правовых актов
ОФИЦИАЛЬНОЕ ОПУБЛИКОВАНИЕ
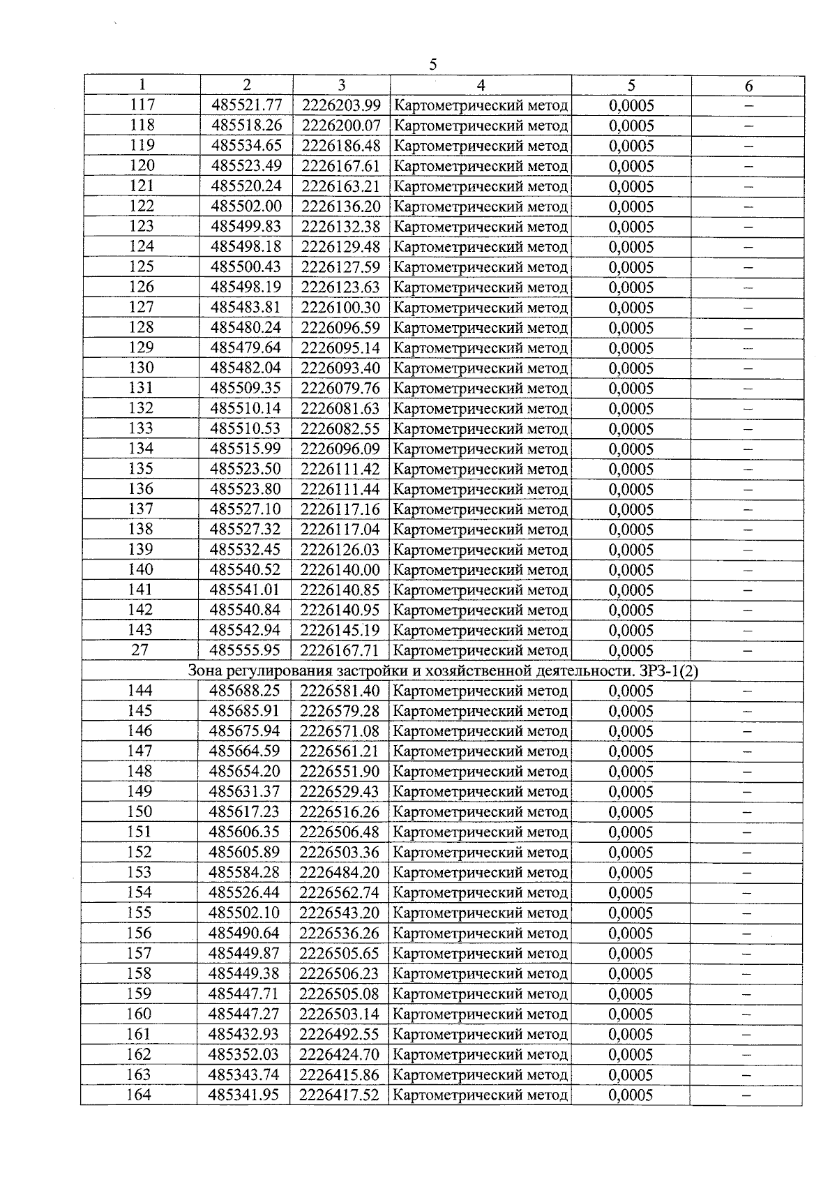
Постановление Правительства Московской области от 02.02.2026 № 73-ПП
"Об установлении зон охраны объекта культурного наследия регионального значения "Церковь Рождества Пресвятой Богородицы, 1738 г., 1808 г.", расположенного по адресу: Московская область, городской округ Лосино-Петровский, село Анискино, улица Центральная, дом 21, и утверждении требований к градостроительным регламентам в границах территорий данных зон"
Номер опубликования: 5000202602040001
Дата опубликования: 04.02.2026
Страница №26 из 38:
Увеличить