Официальное опубликование правовых актов
ОФИЦИАЛЬНОЕ ОПУБЛИКОВАНИЕ
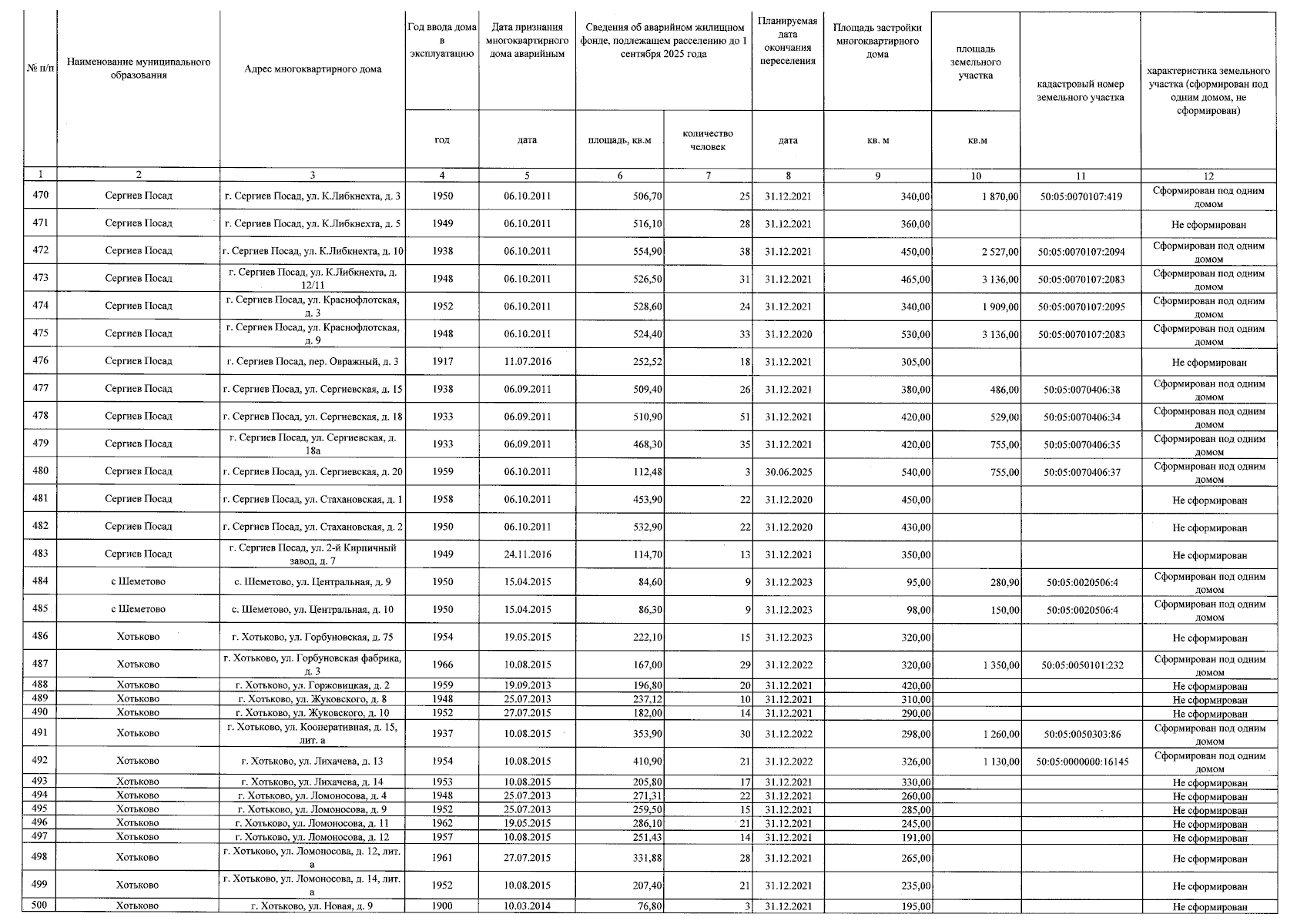
Постановление Правительства Московской области от 02.03.2026 № 196-ПП
"О внесении изменений в государственную программу Московской области "Переселение граждан из аварийного жилищного фонда в Московской области"
Номер опубликования: 5000202603030018
Дата опубликования: 03.03.2026
Страница №58 из 96:
Увеличить