Официальное опубликование правовых актов
ОФИЦИАЛЬНОЕ ОПУБЛИКОВАНИЕ
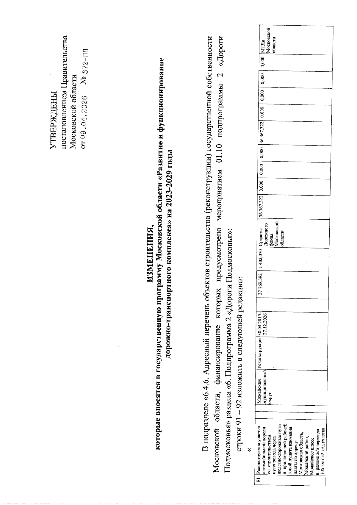
Постановление Правительства Московской области от 09.04.2026 № 372-ПП
"О внесении изменений в государственную программу Московской области "Развитие и функционирование дорожно-транспортного комплекса" на 2023-2029 годы"
Номер опубликования: 5000202604090001
Дата опубликования: 09.04.2026
Страница №4 из 6:
Увеличить