Официальное опубликование правовых актов
ОФИЦИАЛЬНОЕ ОПУБЛИКОВАНИЕ
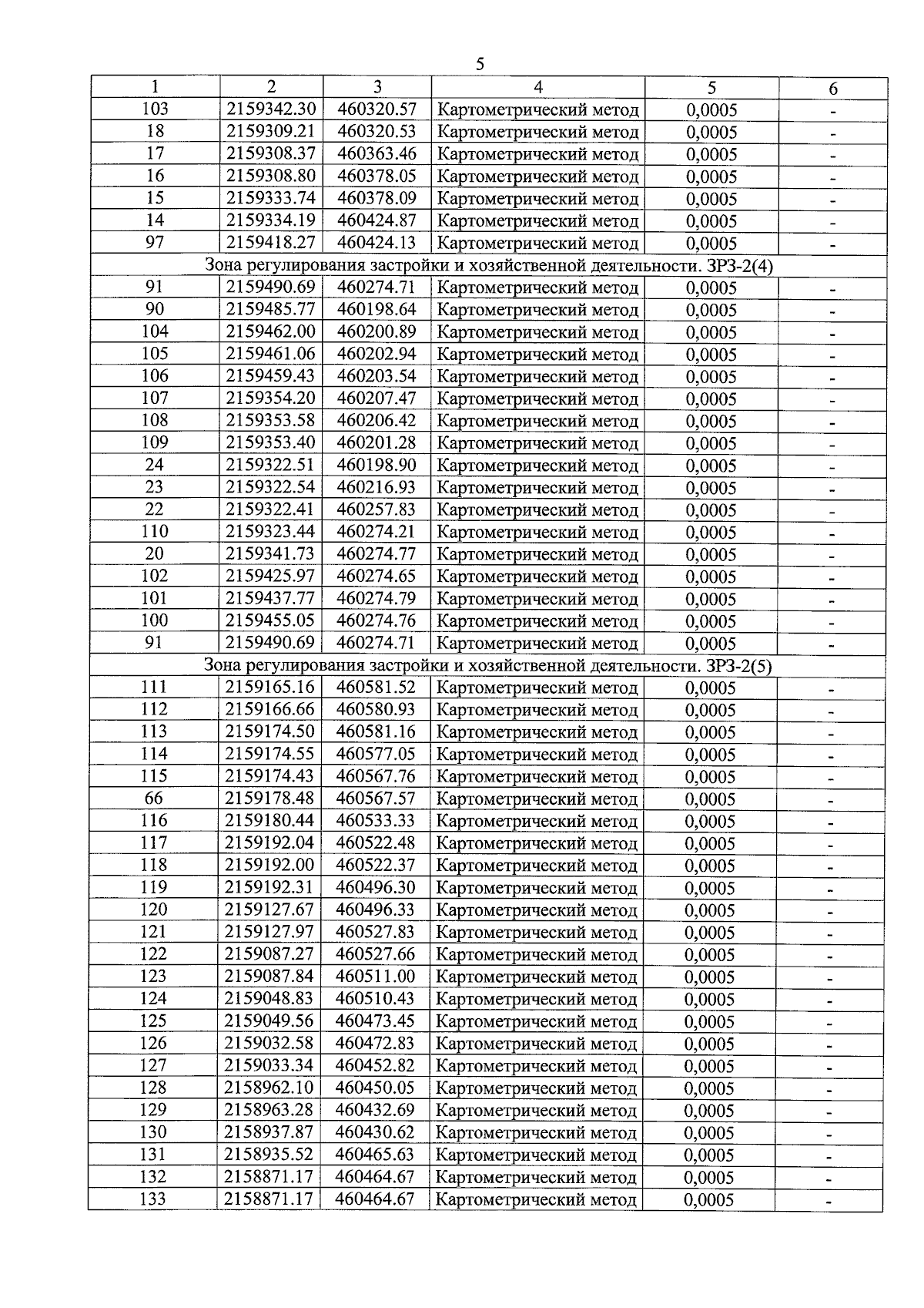
Постановление Правительства Московской области от 09.04.2026 № 382-ПП
"Об установлении зон охраны объекта культурного наследия регионального значения "Усадьба Назарьево, ХVIII— ХIХ вв.: церковь Троицы, 1824 г.; парк, ХVIII — ХIХ вв.; главный дом, конец 1850-х гг.", расположенного по адресу: Московская область, Одинцовский городской округ, поселок Назарьево, и утверждении требований к градостроительным регламентам в границах территорий данных зон"
Номер опубликования: 5000202604100007
Дата опубликования: 10.04.2026
Страница №25 из 37:
Увеличить