Официальное опубликование правовых актов
ОФИЦИАЛЬНОЕ ОПУБЛИКОВАНИЕ
Постановление Правительства Московской области от 14.04.2026 № 398-ПП
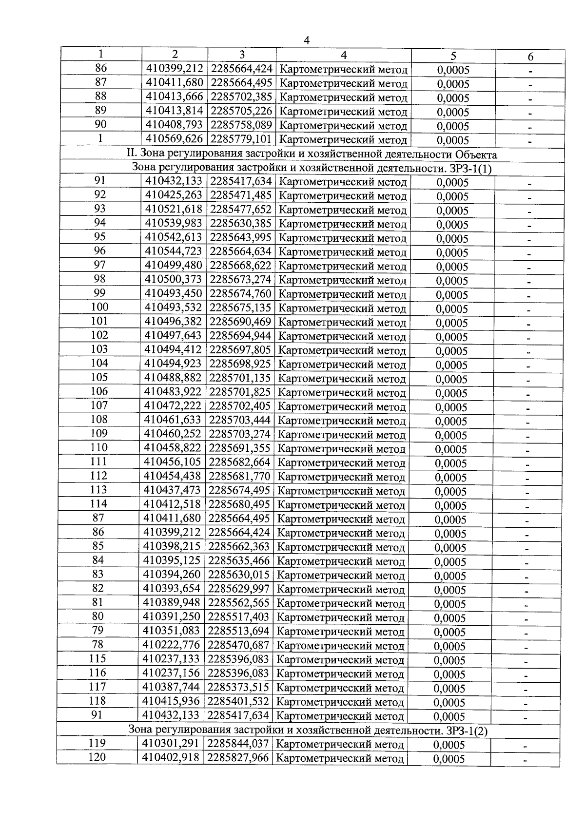
"Об установлении зон охраны объекта культурного наследия регионального значения "Монастырь Казанский: баня-прачечная, кон. ХIХ — нач. ХХ вв.; гостиница, кон. ХIХ — нач. ХХ вв.; корпус келейный, 1883—1889 гг.; колокольня, 1895—1900 гг.; ограда с воротами и башнями, кон. ХIХ в.; корпус служебный, нач. ХХ в.; церковь Преображения Господня с келейным корпусом, 1897—1903 гг.; церковь Тихвинской иконы Божией Матери, 1881—1889 гг.", расположенного по адресу: Московская область, муниципальный округ Егорьевск, деревня Колычево, улица Зинаиды Самсоновой, дома 31, 36, и утверждении требований к градостроительным регламентам в границах территорий данных зон"
Номер опубликования: 5000202604150008
Дата опубликования: 15.04.2026
Страница №18 из 26:
Увеличить