Официальное опубликование правовых актов
ОФИЦИАЛЬНОЕ ОПУБЛИКОВАНИЕ
Постановление Правительства Московской области от 15.04.2026 № 404-ПП
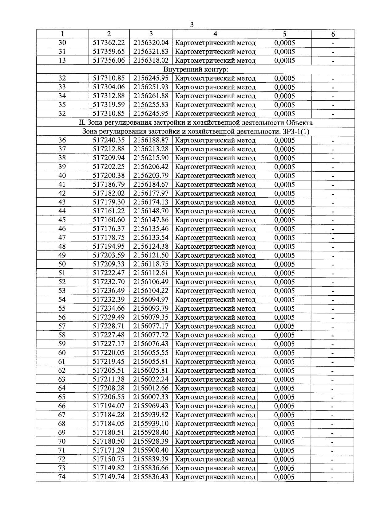
"Об установлении зон охраны объекта культурного наследия регионального значения "Комплекс из двух водонапорных башен на станции Подсолнечная Николаевской (Октябрьской) железной дороги, 1843-1851 гг.", расположенного по адресу: Московская область, городской округ Солнечногорск, город Солнечногорск, железнодорожная станция Подсолнечная, и утверждении требований к градостроительным регламентам в границах территорий данных зон"
Номер опубликования: 5000202604150010
Дата опубликования: 15.04.2026
Страница №20 из 26:
Увеличить