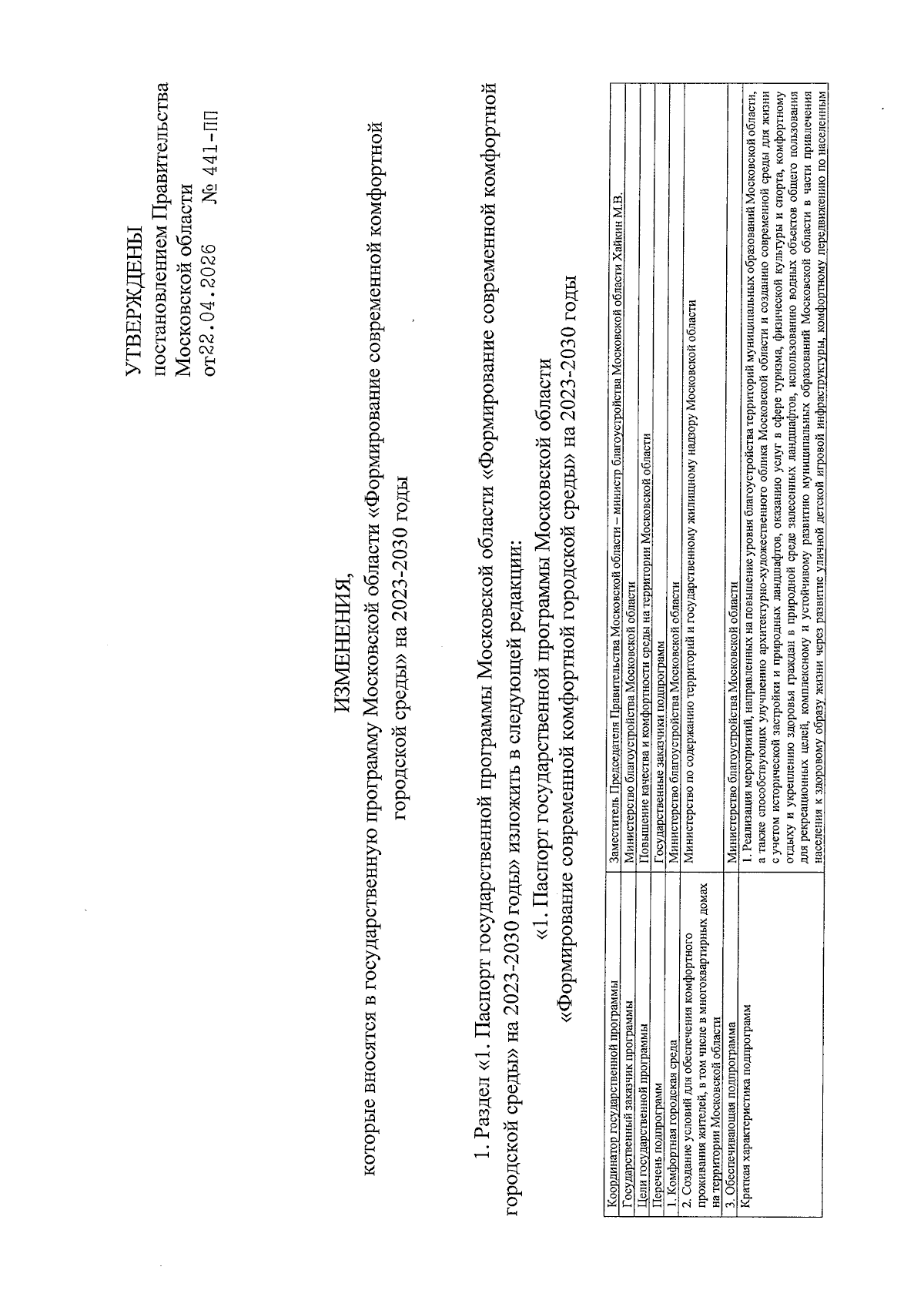
Постановление Правительства Московской области от 22.04.2026 № 441-ПП
"О внесении изменений в государственные программы Московской области "Чистый регион" на 2026-2030 годы и "Формирование современной комфортной городской среды" на 2023-2030 годы"
"О внесении изменений в государственные программы Московской области "Чистый регион" на 2026-2030 годы и "Формирование современной комфортной городской среды" на 2023-2030 годы"
Номер опубликования: 5000202604230006
Дата опубликования:
23.04.2026
