Официальное опубликование правовых актов
ОФИЦИАЛЬНОЕ ОПУБЛИКОВАНИЕ
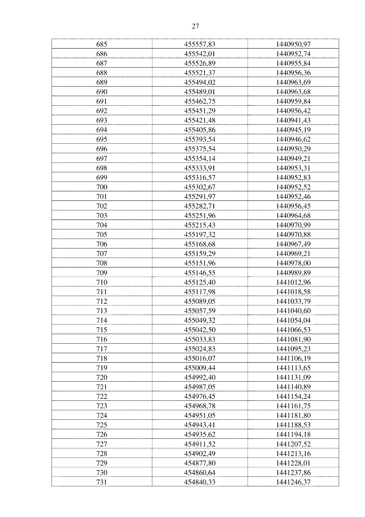
Распоряжение Министерства экологии и природопользования Московской области от 14.11.2024 № 1501-РМ
"Об определении местоположения береговых линий (границ водного объекта), установлении границ водоохранной зоны, прибрежной защитной полосы водохранилища на р. Дирка в Раменском городском округе Московской области"
Номер опубликования: 5001202411180007
Дата опубликования: 18.11.2024
Страница №30 из 48:
Увеличить