Официальное опубликование правовых актов
ОФИЦИАЛЬНОЕ ОПУБЛИКОВАНИЕ
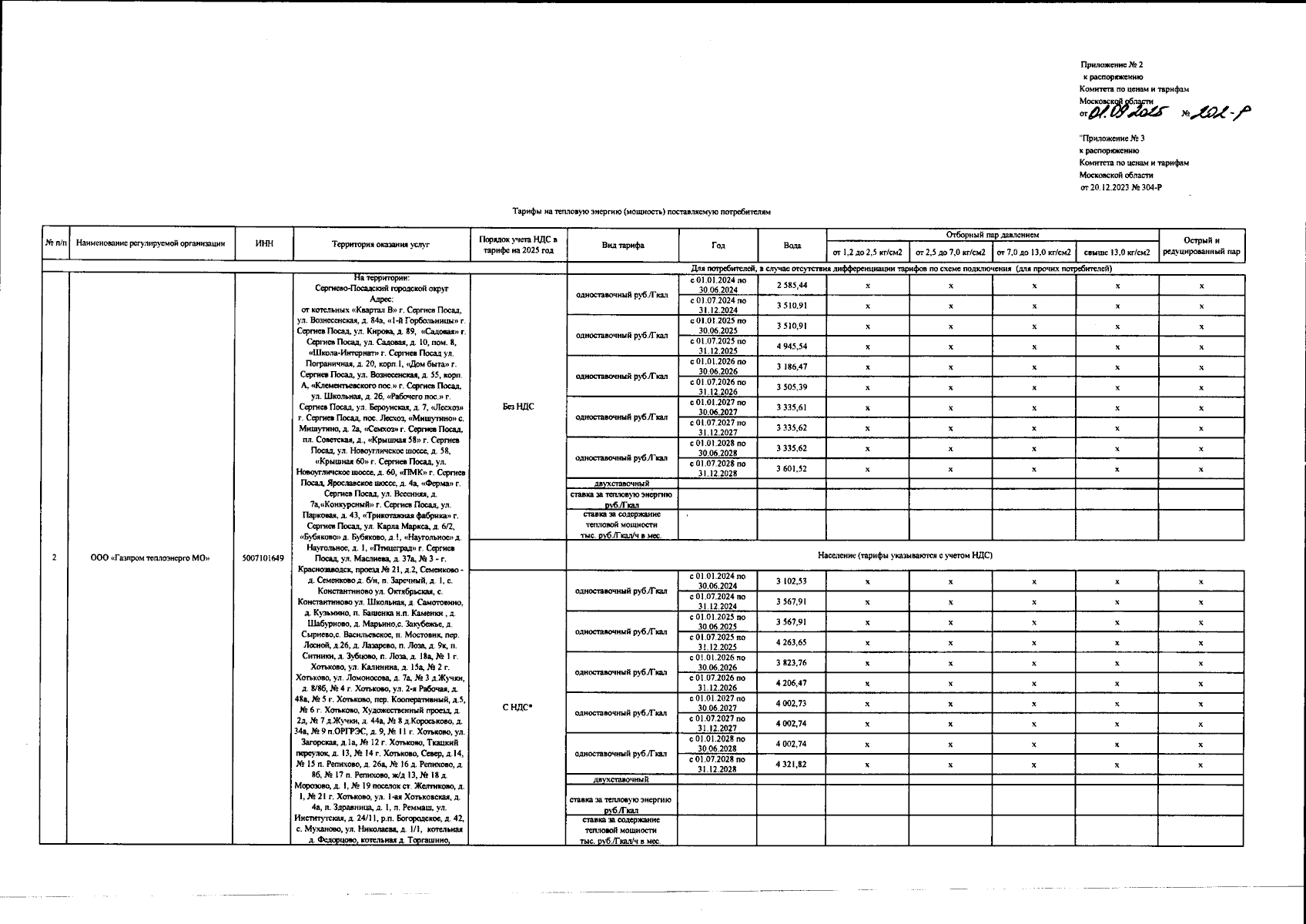
Распоряжение Комитета по ценам и тарифам Московской области от 01.09.2025 № 202-Р
"О внесении изменений в распоряжение Комитета по ценам и тарифам Московской области от 20.12.2023 № 304-Р "Об установлении долгосрочных параметров регулирования и тарифов в сфере теплоснабжения на 2024-2028 годы для организаций на территории Московской области"
(Зарегистрирован 01.09.2025 № 32-817/2025)
Номер опубликования: 5001202509040004
Дата опубликования: 04.09.2025
Страница №4 из 6:
Увеличить