Официальное опубликование правовых актов
ОФИЦИАЛЬНОЕ ОПУБЛИКОВАНИЕ
Распоряжение Министерства экологии и природопользования Московской области от 26.09.2025 № 1182-РМ
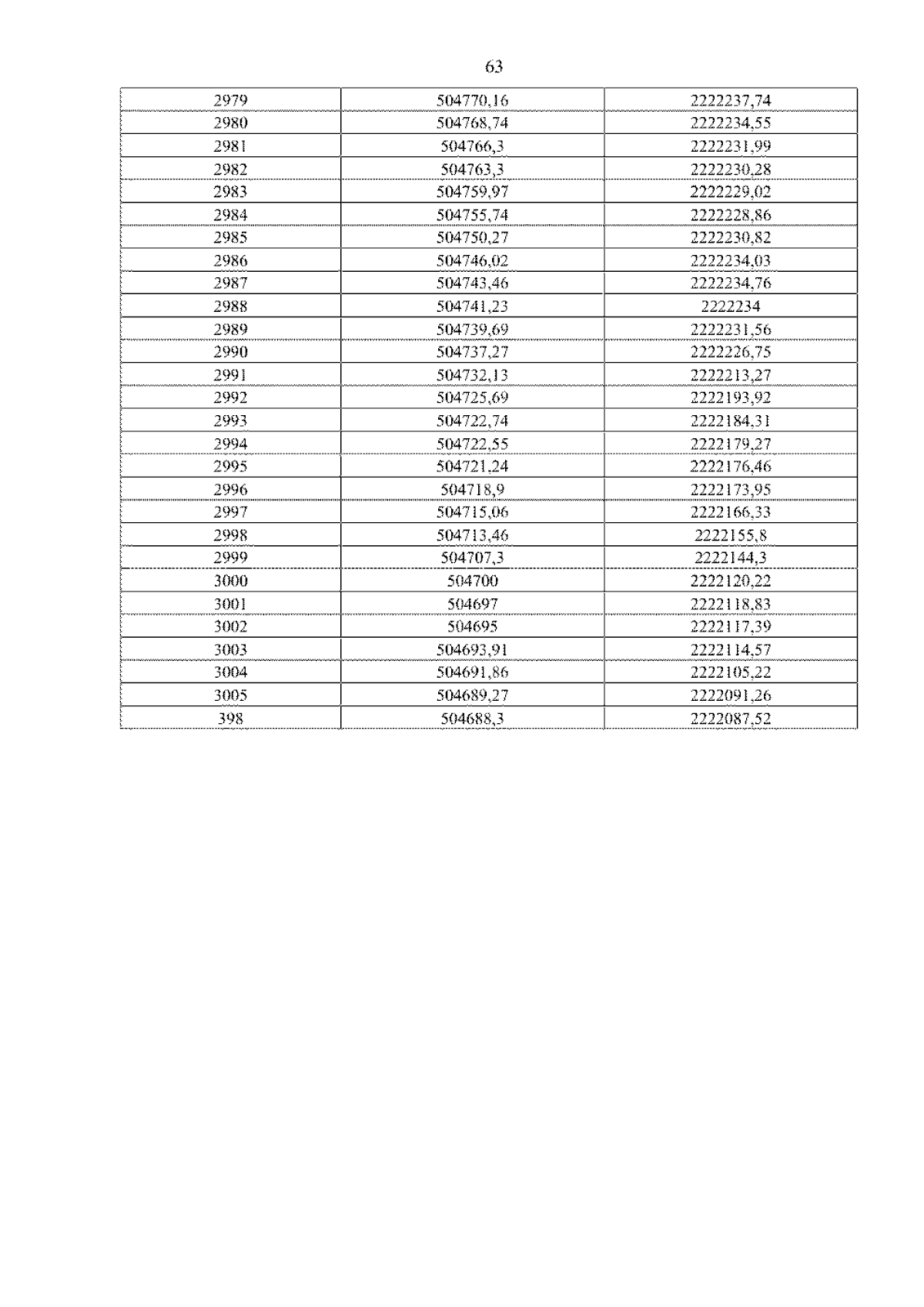
"О внесении изменений в Приложение к распоряжению Министерства экологии и природопользования Московской области от 14.09.2023 № 2307-РМ "Об определении местоположения береговых линий (границ водных объектов), установлении границ водоохранных зон, прибрежных защитных полос водных объектов на территории МОсковской области"
(Зарегистрирован 26.09.2025 № 15-949/2025)
Номер опубликования: 5001202510010002
Дата опубликования: 01.10.2025
Страница №65 из 152:
Увеличить