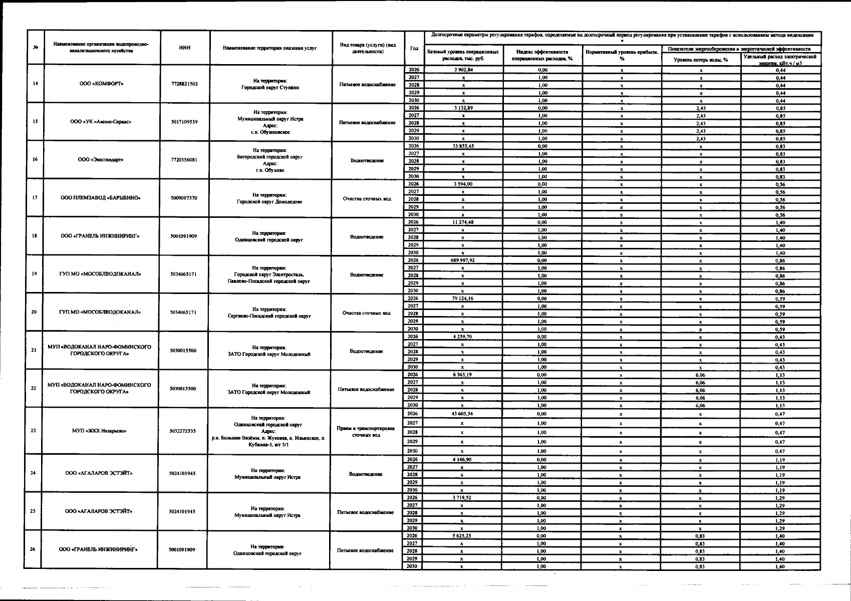
Распоряжение Комитета по ценам и тарифам Московской области от 19.12.2025 № 372-Р
"Об установлении долгосрочных параметров регулирования и тарифов в сфере водоснабжения и водоотведения на 2026-2030 годы для организаций на территории ; Московской области"
(Зарегистрирован 24.12.2025 № 32-1400/2025)
"Об установлении долгосрочных параметров регулирования и тарифов в сфере водоснабжения и водоотведения на 2026-2030 годы для организаций на территории ; Московской области"
(Зарегистрирован 24.12.2025 № 32-1400/2025)
Номер опубликования: 5001202512260010
Дата опубликования:
26.12.2025
