Официальное опубликование правовых актов
ОФИЦИАЛЬНОЕ ОПУБЛИКОВАНИЕ
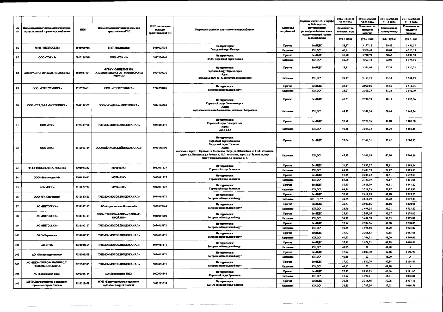
Распоряжение Комитета по ценам и тарифам Московской области от 19.12.2025 № 377-Р
"Об установлении тарифов на горячую воду на 2026 год"
(Зарегистрирован 25.12.2025 № 32-1410/2025)
Номер опубликования: 5001202512290002
Дата опубликования: 29.12.2025
Страница №9 из 34:
Увеличить