Официальное опубликование правовых актов
ОФИЦИАЛЬНОЕ ОПУБЛИКОВАНИЕ
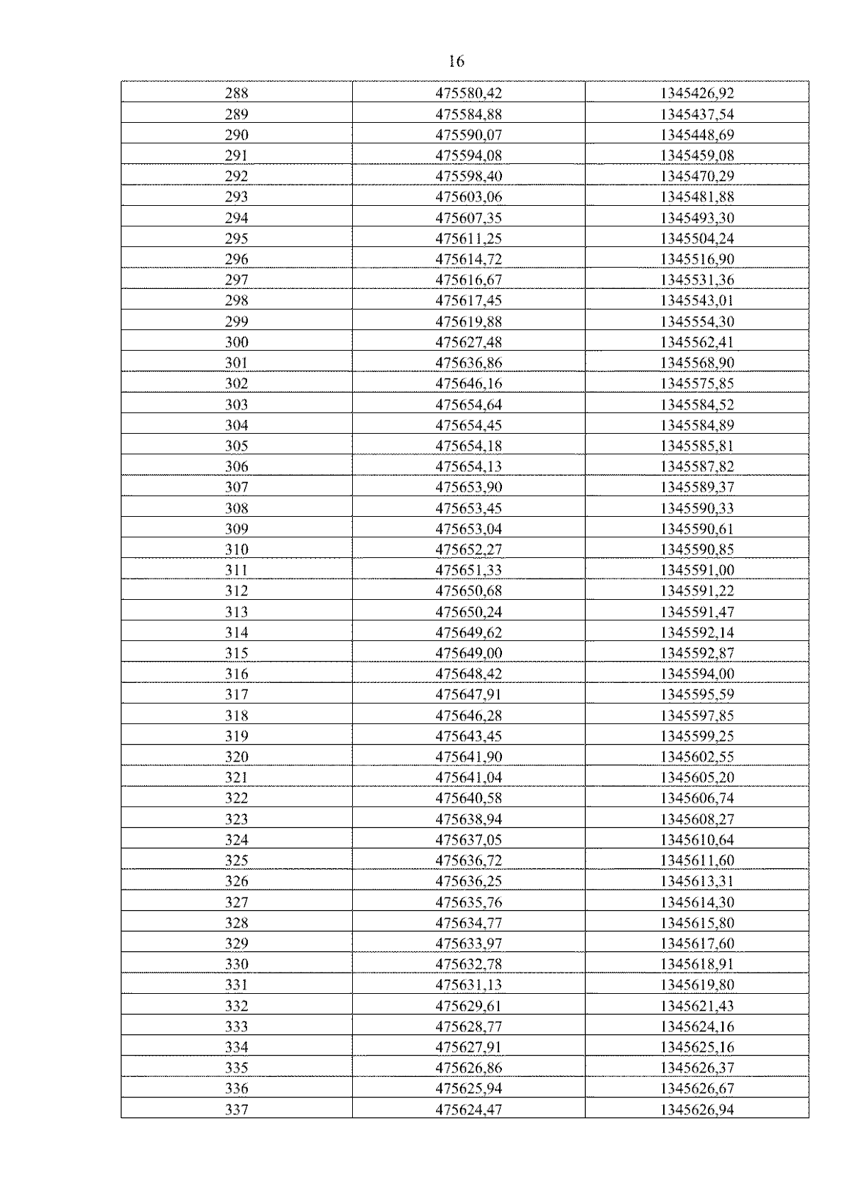
Распоряжение Министерства экологии и природопользования Московской области от 05.02.2026 № 120-РМ
"О внесении изменений в Перечень водных объектов, для которых устанавливаются местоположение береговых линий (границы водных объектов), границы водоохранных зон и границы прибрежных защитных полос на территории Московской области"
(Зарегистрирован 05.02.2026 № 15-108/2026)
Номер опубликования: 5001202602050002
Дата опубликования: 05.02.2026
Страница №18 из 22:
Увеличить