Официальное опубликование правовых актов
ОФИЦИАЛЬНОЕ ОПУБЛИКОВАНИЕ
Распоряжение Министерства экологии и природопользования Московской области от 17.02.2026 № 176-РМ
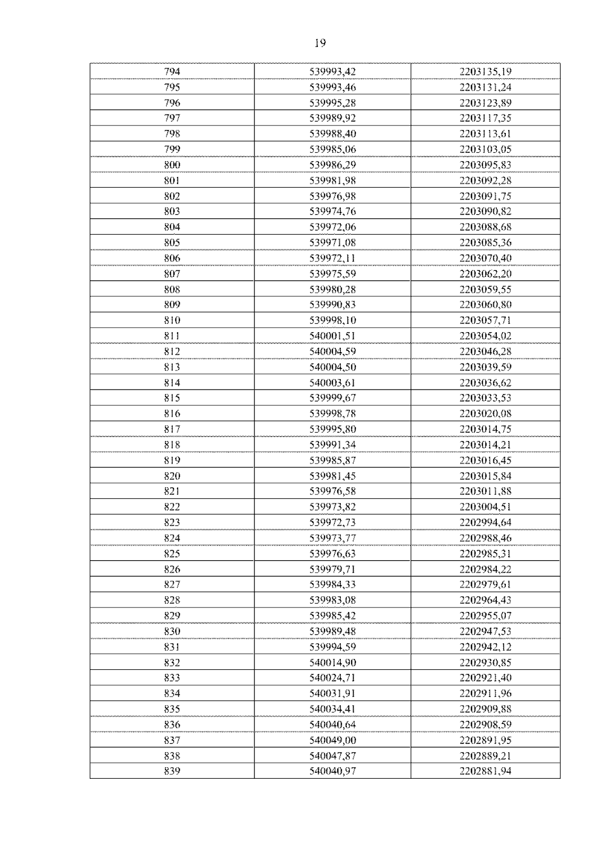
"О внесении изменений в распоряжение и приложения к распоряжению Министерства экологии и природопользования Московской области от 14.08.2023 №2134-РМ "Об определении местоположения береговых линий (границ водного объекта), установлении границ водоохранной зоны, прибрежной защитной полосы реки Якоть в Талдомском, Дмитровском городских округах Московской области"
(Зарегистрирован 17.02.2026 № 15-156/2026)
Номер опубликования: 5001202602180002
Дата опубликования: 18.02.2026
Страница №23 из 239:
Увеличить