Официальное опубликование правовых актов
ОФИЦИАЛЬНОЕ ОПУБЛИКОВАНИЕ
Распоряжение Министерства экологии и природопользования Московской области от 17.02.2026 № 172-РМ
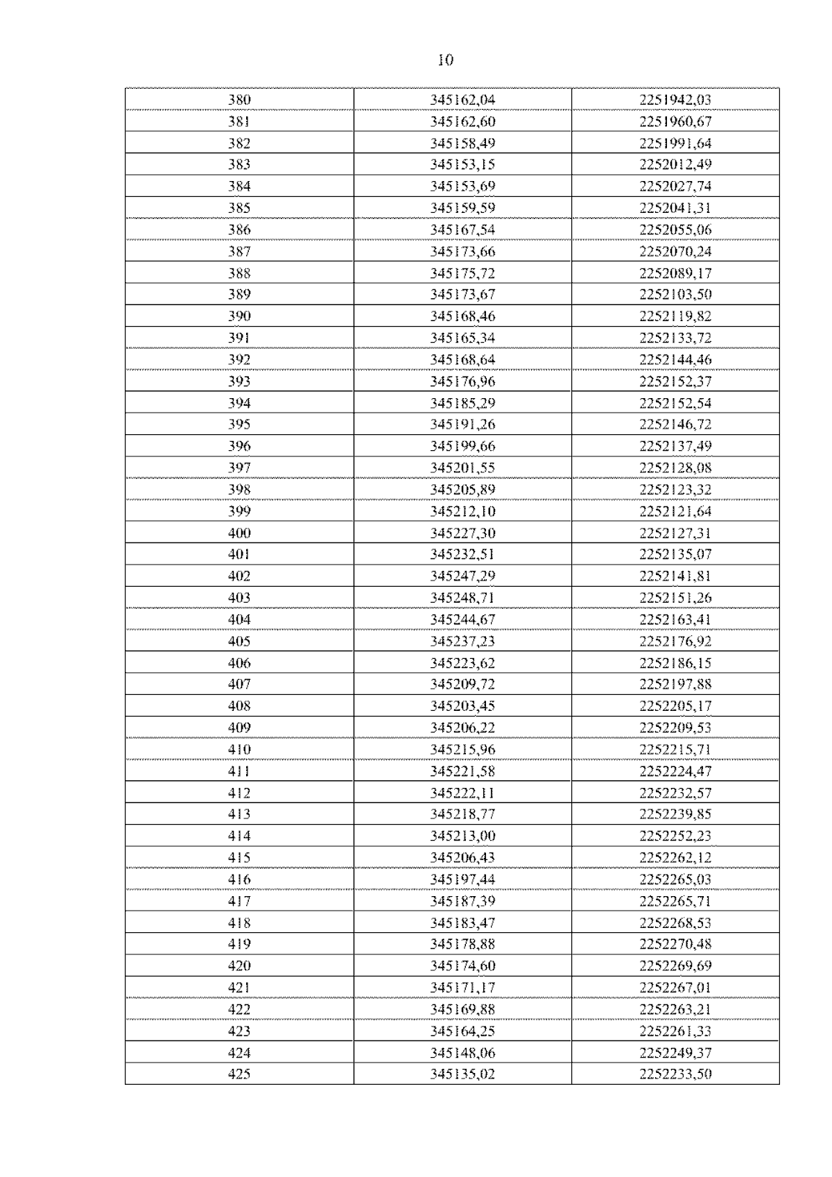
"О внесении изменений в распоряжение и приложения к распоряжению Министерства экологии и природопользования Московской области от 13.04.2023 № 545-РМ "Об определении местоположения береговых линий (границ водного объекта), установлении границ водоохранной зоны, прибрежной защитной полосы реки Березинка в городских округах Кашира,Серебряные Пруды Московской области"
(Зарегистрирован 17.02.2026 № 15-152/2026)
Номер опубликования: 5001202602180005
Дата опубликования: 18.02.2026
Страница №14 из 230:
Увеличить