Официальное опубликование правовых актов
ОФИЦИАЛЬНОЕ ОПУБЛИКОВАНИЕ
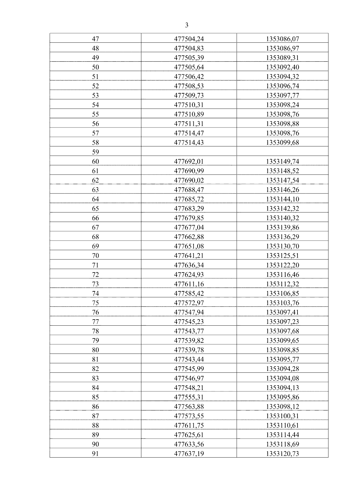
Распоряжение Министерства экологии и природопользования Московской области от 11.03.2026 № 258-РМ
"О внесении изменений в Перечень водных объектов, для которых устанавливаются местоположение береговых линий (границы водных объектов), границы водоохранных зон и границы прибрежных защитных полос на территории Московской области"
(Зарегистрирован 11.03.2026 № 15-243/2026)
Номер опубликования: 5001202603170003
Дата опубликования: 17.03.2026
Страница №6 из 81:
Увеличить