Официальное опубликование правовых актов
ОФИЦИАЛЬНОЕ ОПУБЛИКОВАНИЕ
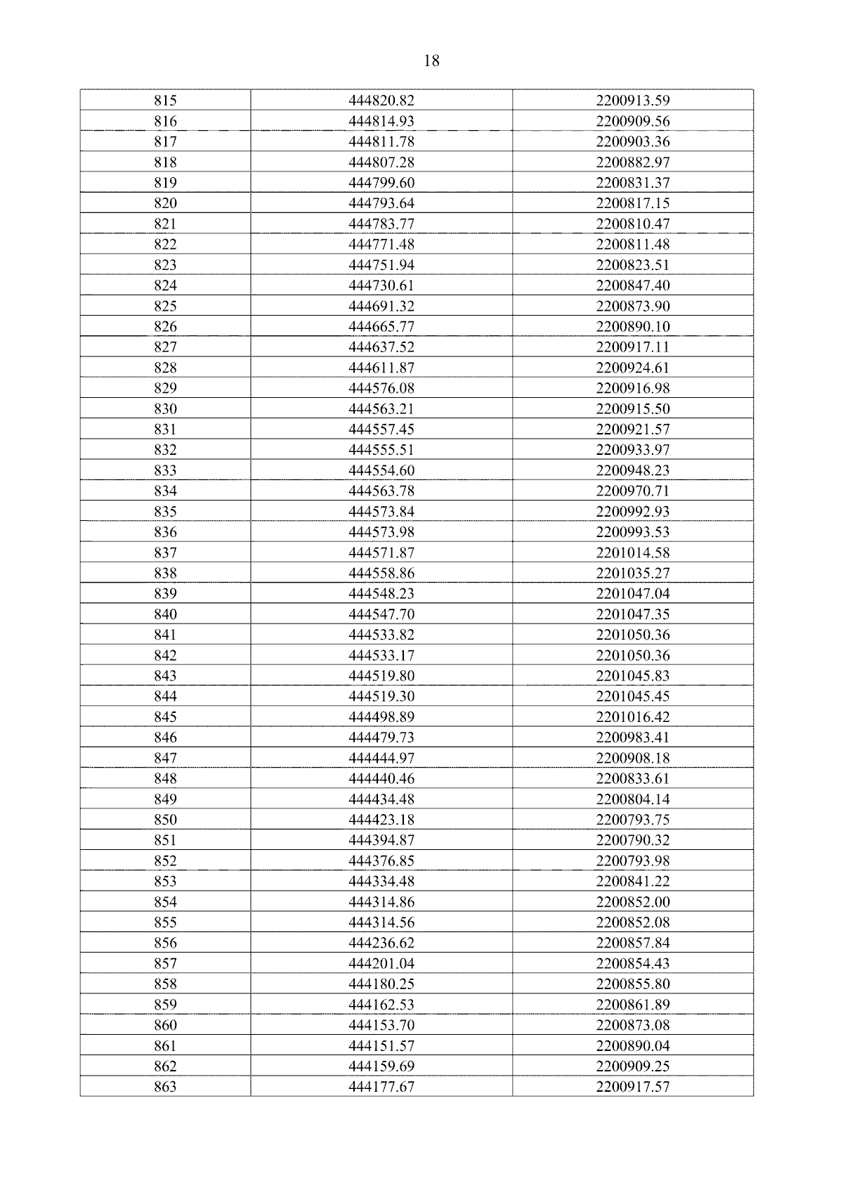
Распоряжение Министерства экологии и природопользования Московской области от 24.03.2026 № 303-РМ
"О внесении изменений в распоряжение Министерства экологии и природопользования Московской области от 06.08.2021 №860-РМ "Об утверждении границ водоохранных зон, прибрежных защитных полос, береговых линий рек Московской области"
(Зарегистрирован 24.03.2026 № 15-281/2026)
Номер опубликования: 5001202603250007
Дата опубликования: 25.03.2026
Страница №22 из 187:
Увеличить