Официальное опубликование правовых актов
ОФИЦИАЛЬНОЕ ОПУБЛИКОВАНИЕ
Распоряжение Комитета по ценам и тарифам Московской области от 24.03.2026 № 71-Р
"О внесении изменения в распоряжение Комитета по ценам и тарифам Московской области от 29.03.2019 № 62-Р "Об утверждении требований к программам в области энергосбережения и повышения энергетической эффективности организаций, осуществляющих регулируемые виды деятельности на территории Московской области"
(Зарегистрирован 27.03.2026 № 32-310/2026)
Номер опубликования: 5001202603310001
Дата опубликования: 31.03.2026
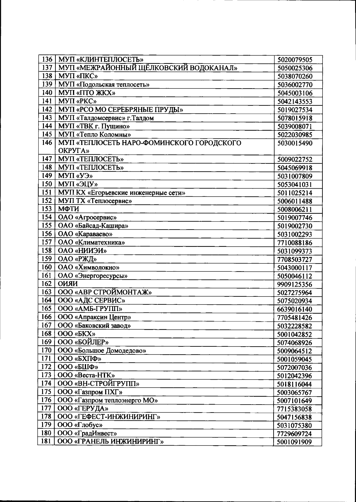
Страница №7 из 25:
Увеличить