Официальное опубликование правовых актов
ОФИЦИАЛЬНОЕ ОПУБЛИКОВАНИЕ
Постановление Правительства Мурманской области от 06.03.2015 № 69-ПП
"О внесении изменений в постановление Правительства Мурманской области от 01.10.2012 № 485-ПП"
Номер опубликования: 5100201503110002
Дата опубликования: 11.03.2015
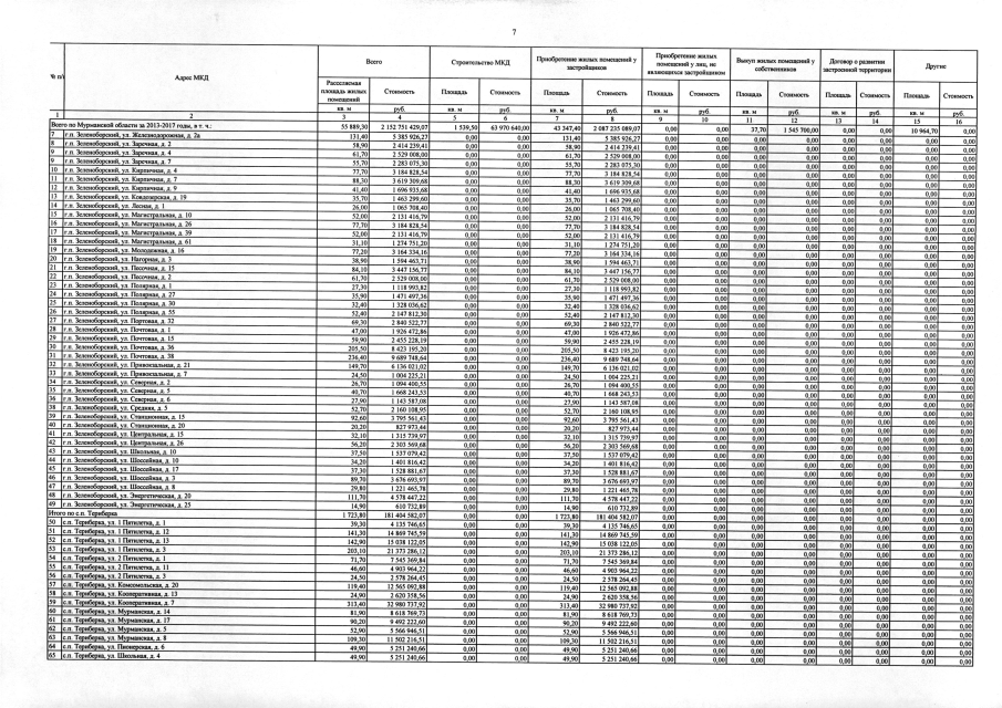
Страница №33 из 46:
Увеличить