Официальное опубликование правовых актов
ОФИЦИАЛЬНОЕ ОПУБЛИКОВАНИЕ
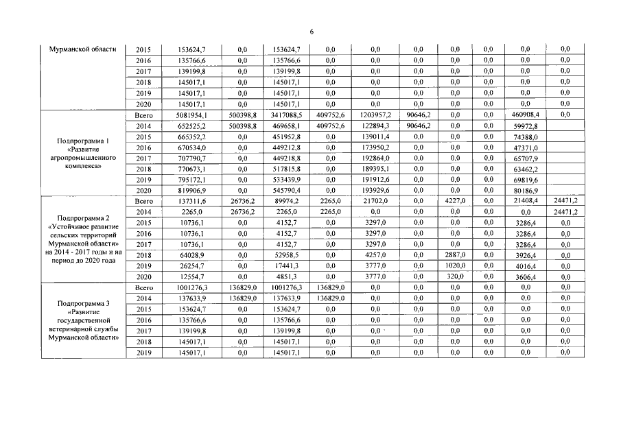
Постановление Правительства Мурманской области от 18.08.2015 № 358-ПП
"О внесении изменений в государственную программу Мурманской области "Развитие сельского хозяйства и регулирование рынков сельскохозяйственной продукции, сырья и продовольствия"
Номер опубликования: 5100201508210002
Дата опубликования: 21.08.2015
Страница №7 из 14:
Увеличить