Официальное опубликование правовых актов
ОФИЦИАЛЬНОЕ ОПУБЛИКОВАНИЕ
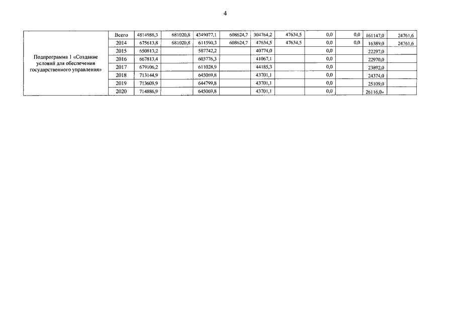
Постановление Правительства Мурманской области от 21.08.2015 № 367-ПП
"О внесении изменений в государственную программу Мурманской области "Государственное управление и гражданское общество"
Номер опубликования: 5100201508260004
Дата опубликования: 26.08.2015
Страница №5 из 12:
Увеличить