Официальное опубликование правовых актов
ОФИЦИАЛЬНОЕ ОПУБЛИКОВАНИЕ
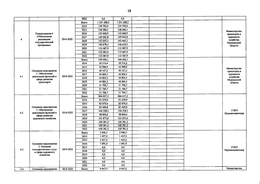
Постановление Правительства Мурманской области от 10.07.2017 № 350-ПП
"О внесении изменений в государственную программу Мурманской области "Развитие транспортной системы"
Номер опубликования: 5100201707130001
Дата опубликования: 13.07.2017
Страница №19 из 32:
Увеличить