Официальное опубликование правовых актов
ОФИЦИАЛЬНОЕ ОПУБЛИКОВАНИЕ
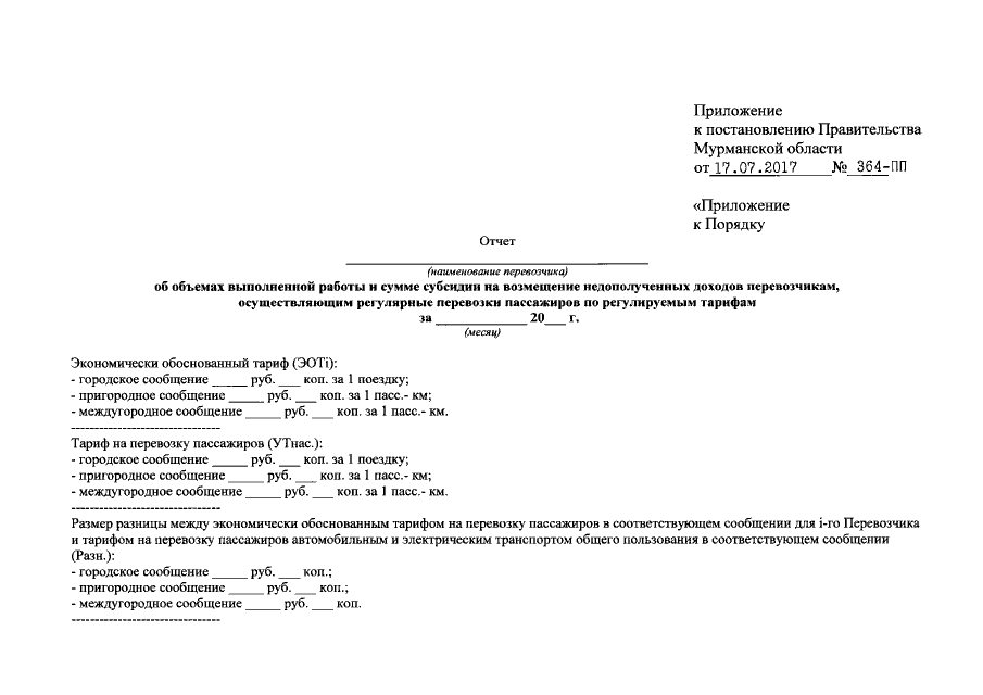
Постановление Правительства Мурманской области от 17.07.2017 № 364-ПП
"О внесении изменений в некоторые постановления Правительства Мурманской области"
Номер опубликования: 5100201707200009
Дата опубликования: 20.07.2017
Страница №5 из 7:
Увеличить