Официальное опубликование правовых актов
ОФИЦИАЛЬНОЕ ОПУБЛИКОВАНИЕ
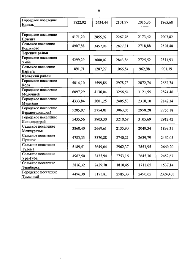
Постановление Правительства Мурманской области от 17.08.2017 № 412-ПП
"О внесении изменений в постановление Правительства Мурманской области от 02.03.2017 № 100-ПП"
Номер опубликования: 5100201708220005
Дата опубликования: 22.08.2017
Страница №7 из 7:
Увеличить